bevictor伟德官网相关团队长期致力于动态物质科学和冲击波物理研究,探索创新超快光学及X射线诊断方法学,发展了超快时高分辨X射线相衬成像和衍射技术,实现了冲击载荷下材料孪晶变形和固-固相变的直接测量,已在Nature子刊、PRL、Acta Mater等国际权威期刊发表SCI论文300余篇,研究成果受到国内外同行高度评价和广泛应用。近期,该团队教师在国际著名期刊Nature Communications, PNAS, Nano letters和Scripta Materialia发表多篇高质量论文。
一、Nature Communications:“电子相机”首次捕捉到单晶铝的弹塑性晶格动力学
动态载荷下材料的弹塑性形变对材料的服役性能有着重要的影响。在原子层面上了解材料在高压下从弹性向塑性转变时发生了什么,可以帮助科学家更好地设计和使用材料,尤其是在航空航天以及核聚变领域。长期以来,科学家们一直努力捕捉材料塑性转变过程的清晰图像,然而,其动力学过程仍不清晰。
课题组博士后唐敏学(共同一作)通过与SLAC的莫棉珍博士(共同一作)等合作,利用“电子相机”首次捕捉到单晶铝薄膜在激光加载下,晶格从弹性过渡到塑性状态的高分辨图像,并解析了塑性变形的初始阶段。“电子相机”,即兆电子伏特超快电子衍射(MeV-UED)仪器。它通过一束高能电子束捕捉激光冲击加载晶体时的瞬态变化(约五万亿分之一秒),并利用泵浦-探测技术拍摄多张快照。这一连串的图像能很好地反应晶体从弹性进入塑性状态的过程。研究结果表明,单晶铝在达到约25 GPa的弹性极限后,其晶格在5 ps内从纯弹性压缩状态过渡到塑性松弛状态。这些结果在实验上直接确定了位错成核和传播等构成初始塑性的基本缺陷动力学过程。同时,大规模的分子动力学模拟与实验结果展示出很好的一致性,并在原子尺度上提供了关于位错主导塑性的描述。相关研究成果已发表在Nature旗下期刊Nature Communications (10.1038/s41467-022-28684-z)(影响因子:17.694)。

二、Proceedings of the National Academy of Sciences:原子尺度下实时观察超快熔化及负膨胀现象
熔化过程(如冰变为水)是常见的自然现象,经典热力学理论可以在长时间尺度和宏观空间尺度上较好地描述传统熔化过程中内能、熵、热容等热力学量的变化。然而对于超短脉冲激光激发下的超快熔化过程,在飞秒(10-15秒)的时间尺度和埃(10-10米)的空间尺度实时观察熔化过程中原子的分布和原子间关联的动力学演化过程则需要超高的时空分辨能力。
近期,该团队与上海交通大学某实验组合作,利用兆伏特超快电子衍射装置,在原子尺度实时研究了金属铝薄膜在高能量密度激光激发下的超快熔化过程,并发现高温过热液态中金属团簇的最近邻原子间距存在随温度升高而变小的负膨胀现象。当强激光与材料作用时,电子温度会迅速上升并通过电子-声子耦合将能量传递给晶格;伴随晶格的温度升高,原子的振动幅度会增加。当原子的振动幅度大于约0.1倍晶格常数时,晶格间的结合力就无法把原子继续聚集在一起。此时,样品会熔化,发生从有序晶体态到无序液态的超快相变。研究结果揭示了金属铝在激光加载下的超快熔化动力学:在1至2皮秒内熔化为液态,并在接下来10皮秒的时间内从高密度液态演化为低密度液态。在此过程中,过渡态的液态铝中的多面体团簇存在着连贯的呼吸运动,这表现为中心原子和最近邻原子之间的原子间距的振荡上。此外,在温度高达6000 K的过热液态中观察到了原子间距的收缩。这些结果提供了随着内部压力松弛的熔化的原子图像,对于理解极端条件下的物质结构和特性至关重要。相关研究成果已发表在Proceedings of the National Academy of Sciences(10.1073/pnas.2111949119)(影响因子:12.779)。

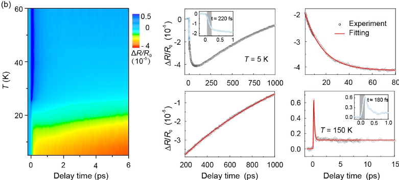
三、Nano Letters:二维范德瓦尔斯插层磁性材料Fe0.33TaS2中的反常的自旋-声子耦合现象
二维范德瓦尔斯插层材料TxMX2(T=Cr, Mn, Fe, Co or Ni; M=Nb or Ta; X=S or Se; x=1/4 or 1/3)是近年来发现的一类二维磁性材料家族,它们的磁性来源于非磁性范德瓦尔斯层MX2层间插入的3d过渡族金属离子。3d过渡族金属离子通过很弱的范德华键与非磁性范德瓦尔斯层MX2结合。正是这种独特性,使二维范德瓦尔斯插层磁性材料表现出奇异的磁性(根据插入金属离子的种类不同而变化),在新型自旋电子器件方面有潜在应用。
该团队博士研究生李宁(共同一作)通过与张晨辉(共同一作)合作,利用飞秒时间分辨率超快光谱对典型的二维范德瓦尔斯插层铁磁材料Fe0.33TaS2的微分反射率进行研究。研究发现Fe0.33TaS2材料在铁磁态时,微分反射率ΔR(t)/R0在0-80 ps区间内表现出异常的弛豫现象,即Fe0.33TaS2中的载流子受激光泵浦激发后没有立即弛豫冷却,而是在0-80 ps区间不断地被加热。这种异常的弛豫现象在顺磁态的Fe0.33TaS2中并没有被观测到。团队进一步利用飞秒时间分辨率磁光克尔系统对Fe0.33TaS2的自旋动力学进行研究,发现Fe0.33TaS2的自旋弛豫在0-80 ps区间同样存在被加热的过程。该结果直接证实了Fe0.33TaS2中的反常热载流子弛豫是由于自旋被持续加热引起的。结合两种技术的测量结果,团队解析出Fe0.33TaS2中反常的载流子弛豫过程:受飞秒激光泵浦后,Fe0.33TaS2中的载流子被激发;TaS2层内的激发态载流子通过电子-声子耦合迅速弛豫冷却(在220 fs 以内完成),将能量传递给TaS2晶格,致使TaS2晶格被加热;由于Fe-TaS2以及Fe-Fe之间的耦合都非常弱,因此Fe离子处的激发态载流子弛豫较慢;同时,被加热的TaS2晶格缓慢将能量传递给插层Fe离子,使Fe离子自旋在0-80 ps区间持续被加热,从而出现了实验结果中的反常载流子弛豫。该工作已发表在纳米领域权威期刊Nano Letters(10.1021/acs.nanolett.1c04064)(影响因子:12.262)。

Fe0.33TaS2的飞秒时间分辨率微分反射率信号
四、Scripta Materialia:冲击加载下增材制造高熵合金中的相变行为
轨道交通、航空航天等领域对材料冲击性能的要求越来越高。深入理解材料在冲击加载下的变形机理有助于指导防护材料的结构设计。近年来,高熵合金以其独特的成分特性和优异的力学性能得到了越来越多的关注。优异动态力学性能使得高熵合金在航空航天、车辆碰撞等动态极端环境中具有极大的应用潜力。
该团队博士研究生杨坤研究了冲击加载下增材制造高熵合金Cr10Mn10Fe60Co10Ni10的变形机理。研究结果表明,在11.3 GPa的冲击应力下,FCC结构的Cr10Mn10Fe60Co10Ni10高熵合金发生了FCC-HCP和FCC-BCC相变。冲击诱导形成的HCP和BCC相分别与FCC母相符合S-N和K-S取向关系,且相变产生了多个变体。精细的能谱结果表明,这些相变与合金中的成分偏聚密切相关:相变仅发生在枝晶内,而在Mn、Ni元素富集的枝晶间相变被抑制。进一步分析表明,Mn、Ni元素富集造成的局部层错能增加是抑制相变的主要原因。本工作结果揭示了高熵合金制备过程中普遍存在的成分偏聚现象对冲击加载下变形机制有着重要影响。相关研究结果发表在Scripta Materialia(10.1016/j.scriptamat.2022.114955)(影响因子:6.302)。
